Statistics
: a branch of mathematics dealing with the collection, analysis, interpretation, and presentation of masses of numerical data
: a collection of quantitative data
Calculating the mean
The following table shows the distance from Tessa's house to her favorite locations.
| Location | School | Library | Park | Movie theater |
|---|---|---|---|---|
| Distance from Tessa's house (in kilometers) | 3 | 5 | 4 | 4 |
Find the mean distance.
3+5+4+4/4 =16/4 =4
to ans is 4
2ed question
Anduin casts a variety of healing spells. The number of health points that each of his healing spells restores is listed below.
Find the mean number of health points. = 31
solve => 43+57+30+18+26+12/6 = 186/6 = 31
========================================================
Calculating the median
The following data points represent the number of attendees at each of the private dance events hosted by Fenel Arrangements.
Sort the data from least to greatest.
Find the median number of attendees.
33,34,38,42,47,47,48,49,51 = 47
first you set value in small to large then fine medial value
45,78,80,90 = 79
20,52 54,56,58,60,80 =56
this 7 number in row to find median value 3 value right side or 3 value left side and median value is 56
20,30,40,50 =35
medial value is 30 or 40 to , 30 or 40 median value is 35 to your ans is 35
=================================
mode
your number in most common number (repeated ) value fiend
like ex => 4,3,1,6,1,7,1 = 1
45,48,45,56,78,15,45,89,71 = 45
============================
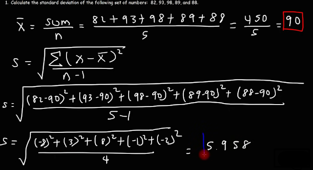
Standard DeviationEX :1 your value is 82,93,98,89,88
Ex :2 your value is 76,84,69,92,58,89,73,97,85,77
=======================
Normal Distribution & Probability Problems
https://www.wolframalpha.com/widgets/view.jsp?id=8ab70731b1553f17c11a3bbc87e0b605
Variance
1st type to solve
Range
IQR
your value of data = 6,9,14,10,5,8,11
1st set value small to big value = 5, 6 , 8 , 9 , 10 , 11, 14
2st you find medal value to = 9
5, 6 , 8 , 9 , 10 , 11, 14 = your medal value is 9
3rd fiend next medal value = 5, 6 , 8 , 9 , 10 , 11, 14
6 or 11 is medal value
IQR = 6-11 = 5
your answered is = 5
Correlation Coefficient
your ans is r = -1 then your 2ed graph X△ Y ⛛
Conditional Probability
Priors , posteriors , maximum likelihood Descriptive statistics
inferential Statistics , Regression , Hypothesis testing , A/B testing

.png)
.png)
.png)
.png)
.png)
.png)
.png)
.png)
.png)
.png)

.png)
.png)


.png)
.png)
.png)
.png)
.png)
.png)
.png)
.png)
.png)
.png)
.png)
.png)
.png)
.png)
.png)
.png)
.png)
.png)
.png)
.png)
.png)
#it A great place to work for people who are looking for growth and learning. I have been working here for more than a year now, the work culture is great and diverse. Your ideas and creativity towards technology are always appreciated and awarded.
ReplyDeleteHad a great onboarding experience, extremely organized, and surprisingly fun. The policies and procedures are delivered in brief during the sessions, the queries are also handled well and resolved in the stipulated time.
ReplyDelete